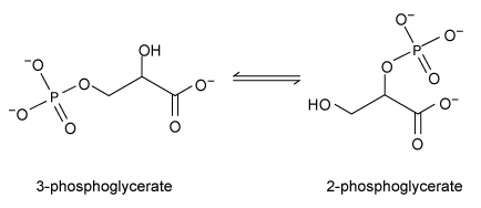
Consider the following reaction:
Which parameter would NOT be affected by the addition of phosphoglycerate mutase?
A) The stability of the transition state between 3-phosphoglycerate and 2-phosphoglycerate
B) The equilibrium concentrations of 2-phosphoglycerate and 3-phosphoglycerate
C) The activation energy barrier between 3-phosphoglycerate and 2-phosphoglycerate
D) The rate constant for conversion of 2-phosphglycerate to 3-phosphoglycerate
Correct Answer:
Verified
Q122: Which two enzymes of the pentose phosphate
Q123: Passage
Many lysosomal proteins are transported to the
Q124: Passage
Nerve cells must maintain the composition of
Q125: Thermolysin is a protease that can cleave
Q126: Which of the following molecules could participate
Q128: Passage
Many lysosomal proteins are transported to the
Q129: Which experimental procedure(s) must scientists use to
Q130: Passage
Many lysosomal proteins are transported to the
Q131: Passage
Many lysosomal proteins are transported to the
Q132: Passage
A newborn girl is diagnosed with a
Unlock this Answer For Free Now!
View this answer and more for free by performing one of the following actions
Scan the QR code to install the App and get 2 free unlocks
Unlock quizzes for free by uploading documents